Closure test and Phase calibration Plots
S-band closure delay (coarse search)
X-band closure delay (coarse search)
S-band closure delay (fine search)
-large scale
S-band closure delay (fine search)
X-band closure delay (fine search)
-large scale
X-band closure delay (fine search)
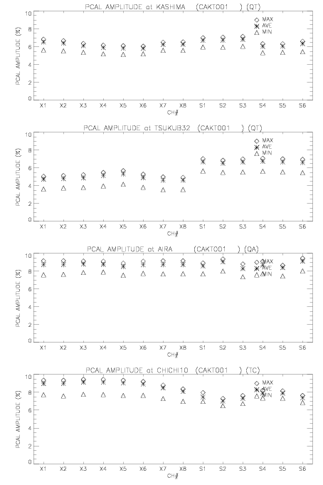
Phase calibration amplitude
Phase calibration pseudo delay (S-band)
Phase calibration pseudo delay (X-band)
S-band closure rate
X-band closure rate
Return to Session page
Web curator:
GSI VLBI Group
Last updated: 07/05/00